משוואה ריבועית
משוואה ריבועית היא כל משוואה שבה אחד הנעלמים (בד”כ X) הוא בחזקת 2.
כדי לפתור משוואה ריבועית חייבים קודם כל “לסדר” אותה לצורה הבאה:
ax² + bx + c = 0
איך עושים את זה? נניח שיש לי את המשוואה הבאה:
7+9x=5x²
קודם כל אני אעביר את הכל לצד אחד של המשוואה (לא ממש משנה איזה צד אבל רצוי מאוד שהמקדם של x² יהיה חיובי), יש לי שתי ברירות:
0=5x²-9x -7
או:
-5x² + 9x+7=0
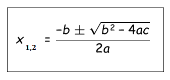
בשלב הבא אני אשתמש בנוסחת הדלתא, את הנוסחה הזאת לומדים דיי מוקדם במתמטיקה וכדאי שתתחילו לזכור אותה בעל פה כבר עכשיו:

לא להיבהל זה לא נורא כמו שזה נראה.
אם נצמד למשוואה שלנו אז a=5, b=-9, c=-7
הפתרון שנקבל יכיל שתי תשובות, מה שאומר שאם נציב כל אחד מהערכים שקיבלנו במשוואה נקבל 0.
למה יש שני פתרונות? מכיוון שלמשוואה ריבועית בחלק מן המקרים מתקבלת אותה תוצאה משתי הצבות שונות
לכל X שגדול מאפס יש שתי אפשריות לקבל את אותה תוצאה, חיובית ושלילית. רק בנקודה אחת, קודקוד הפרבולה, יש רק אפשרות אחת לקבל את הפתרון.
שימו לב שלכל משוואה ריבועית ישנם גם ערכים שאין להם פתרונות.
למשל למשוואה איקס בריבוע שווה מינוס אחד אין תשובה כי מספר בריבוע תמיד יהיה חיובי.
פרבולה עולה ויורדת:
אם המקדם של איקס בריבוע (A) גדול מ-0 הפרבולה עולה (הפרבולה צוחקת).
אם המקדם של איקס בריבוע (A) קטן מ-0 הפרבולה יורדת (הפרבולה בוכה).

Published: May 7, 2016
Latest Revision: May 7, 2016
Ourboox Unique Identifier: OB-144133
Copyright © 2016